Thank you for asking Mathyards-USA!

     From: Jennifer Subject: Probability

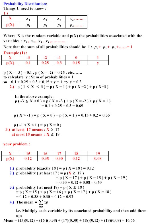
The number of cars to be worked on by a mechanic is a random variable represented by x. The probability distribution for x is: x p(x) 15 .12 16 .38 17 .30 18 .12 19 .08 Find the probability that on a given da a mechanic works on: a)exactly 18 cars b) at least 17 cars c) at most 18 cars d) find the mean # of cars worked on

 

 

 

 

                     ANSWER:

 

 

 

 

 

 

 

 

 

 

 

 

 

 

 

                                

 

 

 

 

 

 

Back to the QSubmit page